尊时凯龙

招标采购

-Bidding

尊时凯龙置业资产租赁项目(20240201)招租通告

日期:2024-03-08

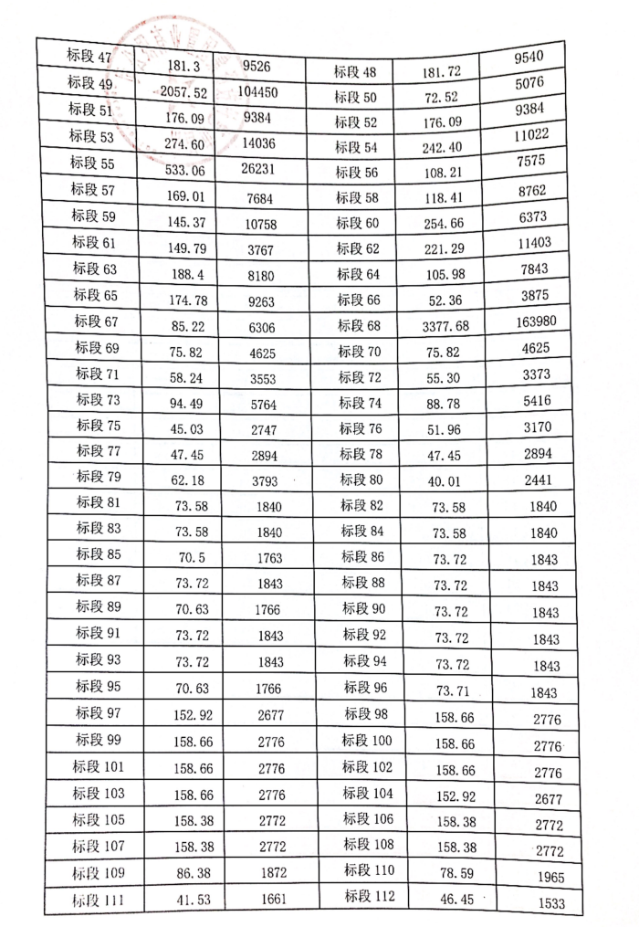
image.pngimage.pngimage.pngimage.pngimage.pngimage.pngimage.pngimage.pngimage.png

文章谈论

心情

共 0 条谈论,,,,,,,审查所有
  • 这篇文章还没有收到谈论,,,,,,,赶忙来抢沙发吧~
网站地图